Android and iPhone Apps Cost About The Same, Except For Games And Dictionaries

android-app-charts

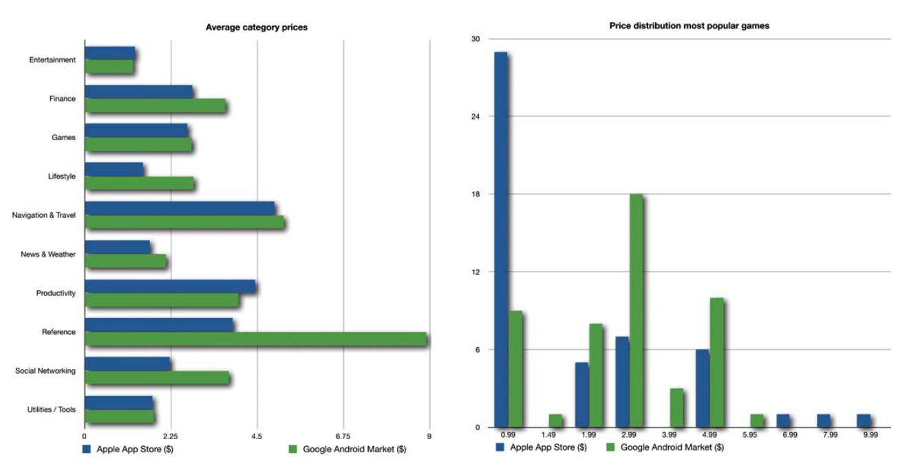
Do the prices people are willing to pay for a phone app depend on the device or the type of app? A comparison of July prices in the iPhone App Store and the Android Market by app analytics firm Distimo found that across broad categories such as entertainment, navigation, and tools the average price for the Top 100 paid apps was very similar for both mobile computing platforms.

There were a few exceptions. The average price for a paid reference app on Android is close to $9, which is more than twice the average price for the same category on the iPhone. This disparity is mostly due to some dictionary apps on Android priced between $15 and $30 (mostly from Paragon Software). I’m not sure those are big sellers, but it bumps up the average. Finance and social networking apps are also slightly more expensive on average.

Games are on average about the same as on the iPhone, around $2.50. But if you look at the price distribution, that tells you a different story. While most of the top paid games on the iPhone go for $0.99, on Android many more games are priced between $1.99 and $4.99.

Are Android games better than iPhone games? Hardly. This might just be a function of the relative immaturity of the android Market. Early on, iPhone apps were priced all over the place, but then they started to drift en masse towards the golden $0.99 price point. I suspect the same will happen with Android apps as the devices hit a critical mass of users this year.

Techcrunch event

Join 10k+ tech and VC leaders for growth and connections at Disrupt 2025

Netflix, Box, a16z, ElevenLabs, Wayve, Hugging Face, Elad Gil, Vinod Khosla — just some of the 250+ heavy hitters leading 200+ sessions designed to deliver the insights that fuel startup growth and sharpen your edge. Don’t miss the 20th anniversary of TechCrunch, and a chance to learn from the top voices in tech. Grab your ticket before doors open to save up to $444.

Join 10k+ tech and VC leaders for growth and connections at Disrupt 2025

Netflix, Box, a16z, ElevenLabs, Wayve, Hugging Face, Elad Gil, Vinod Khosla — just some of the 250+ heavy hitters leading 200+ sessions designed to deliver the insights that fuel startup growth and sharpen your edge. Don’t miss a chance to learn from the top voices in tech. Grab your ticket before doors open to save up to $444.

San Francisco | October 27-29, 2025

Over time, these prices revert to the mean. Look at what has happened to the average price of the Top 100 apps in the iPhone app store in just the last month (see chart at right). When OS 3.0 came out for the iPhone at the beginning of the month month, many app developers took advantage of the new features and prices fluctuated as they experimented to see if they could charge more as a result. So we saw prices rise, especially among navigation apps.

But the average price quickly came back to the norm. Even when a pricey app breaks into the Top 100, it doesn’t stay there for long. For instance, the $69.99 MobileNavigator North America, caused a spike in the average price for the month, but when it dropped out of the Top 100 paid apps on July 27, so did the average. Over time, mobile app prices keep coming back towards $0.99. Call it the Steve Jobs effect.

Topics

, ,
Loading the next article
Error loading the next article