Predicting Love And Breakups With Facebook Data

Does it matter that the love of your life doesn’t like your friends? If you hit the one-year anniversary mark, are you more likely to get married? Smitten worry warts are often obsessed with comparing their partners’ behavior to other couples to see if a dreaded breakup is headed their way. Now, with the magic of big data, we can know just how predictive some behaviors are of lasting love or heart-break city.

Facebook isn’t the first to try this; researches have previously analyzed data from dating sites to find headline-worthy patterns, such as how likely similar races are to date each other. OKTrends, for instance, was a popular blog to help data-hungry singles optimize the number of messages they received–until Match.com bought OkCupid’s parent company and it stopped posting.

Unlike Dating sites, Facebook has millions of couples, enough to get a much more representative sample than folks who only meet their love online. Their data science team has some interesting findings.

Being Interested In All Aspects Of Your Partner

In a paper being presented this weekend at a conference on social computing, Lars Backstrom of Facebook and Jon Kleinberg of Cornell University found that the best predictors of love were how much interest couples had in each other, not necessarily whether they had a lot friends in common [PDF].

  • Having lots of friends in common predict 24.7 percent of couples (For reference, randomly guessing whether two people are in a loving partnership only predicts 2 percent of couples).
  • It was far more normal (50 percent of couples) to have friends in lots of social circles (co-workers, drinking buddies, sports clubs, etc).
  • Couples who appeared in lots of pictures together and who check out each others online activity significantly boosted the overall algorithm to 70%. This makes sense, and for those of us who have been tempted to Facebook-stalk a love interest, it’s a telling strategy. If we want to know if a breakup is about to occur, a good sign is that the couples stop appearing in pictures together or commenting on their updates.

Now, to be clear these findings are not causal and are difficult to predict for any one couple. So, if you’re worried your boyfriend will break up with you, taking more photos of him will not (likely) slow the pace of impending doom — nor will making him befriend your co-workers.

A/S/L Matter

Techcrunch event

Join 10k+ tech and VC leaders for growth and connections at Disrupt 2025

Netflix, Box, a16z, ElevenLabs, Wayve, Hugging Face, Elad Gil, Vinod Khosla — just some of the 250+ heavy hitters leading 200+ sessions designed to deliver the insights that fuel startup growth and sharpen your edge. Don’t miss the 20th anniversary of TechCrunch, and a chance to learn from the top voices in tech. Grab your ticket before doors open to save up to $444.

Join 10k+ tech and VC leaders for growth and connections at Disrupt 2025

Netflix, Box, a16z, ElevenLabs, Wayve, Hugging Face, Elad Gil, Vinod Khosla — just some of the 250+ heavy hitters leading 200+ sessions designed to deliver the insights that fuel startup growth and sharpen your edge. Don’t miss a chance to learn from the top voices in tech. Grab your ticket before doors open to save up to $444.

San Francisco | October 27-29, 2025

In another set of fun analyses of the heart, Facebook’s data-science team has been looking at the patterns among socially networked love bugs. Interestingly, heterosexual couples are generally around the same age, even as they get older, but same sex couples display the stereotypical age gap as they grow older, leveling off at about 4.5 years difference after age 38.

age-gap

Western countries are far more likely to marry folks their own age:

international

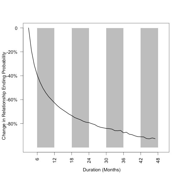
Is there a special anniversary that indicates lasting love? Not really. As we can see from the chart below, the longer a couple has been together, the more likely they are to stay together. “About half of all Facebook relationships that have survived three months are likely to survive to four years or longer,” writes the team on a Facebook blog post.

But what we see is a nice smooth curve, meaning that there don’t appear to be any dates that are particularly significant.

1900037_10152215126258415_1461588491_n

Notable that the team finds seasonal variation in break time, with the summer months (perhaps because they have a lot of young members) being the most popular time to rip out someone’s heart. The most important finding of this graph though? There’s a “small dip” in breakups around February. So, at the very least, you’re beleaguered relationship will likely have a nice Valentine’s Day.

seasonal

Image by Flickr user schipul under CC BY 2.0 license

Topics

Loading the next article
Error loading the next article