We say something “goes viral” because we tend to think of rumors and disinformation spreading the way that an infection spreads. But these days it may be more accurate to say something “goes nuclear,” according to a new paper that models disinfo as a form of fission reaction.
As common wisdom had it even before the age of instantaneous transmission of data, “A lie can get halfway around the world while the truth is still pulling on its boots.” A pithy epigram, yes, but it’s not much help in analyzing the phenomenon.
We often reach for natural processes to represent how humans act as groups. Physically, large crowds and traffic act like fluids and are often accurately modeled as such. Other rules govern our behavior, and when it comes to spreading rumors, the spread of disease is an intuitive analogue. People act as vectors for a lie rather than a virus, and the results provide a lot of insight into how it works and how to stop it.
But the fast-paced and aggressive modern social media and news environment changes things somewhat. As researchers from Shandong Normal University in China, led by Wenrong Zheng, describe it in their paper published in AIP Advances:
The infectious disease model is not yet able to truly reflect the rumor propagation in the network. This is mainly due to the fact that infectious diseases do not propagate actively, while rumors propagate actively, and the model ignores the rationality and subjectivity of the rumor spreaders; secondly, the infectious disease model only takes into account the changes in the group size, but not the resulting social impact and potential risks.
In other words, the disease model imperfectly represents the way those “infected” by a rumor actively propagate it, rather than simply passing it to someone near them at the grocery store. And disease models are often intended to project and prevent death, but perhaps not other important metrics relevant to the study of disinformation.
So what natural process can we use instead? Scientists have proposed wildfires, swarms of insects, and collections of bouncing balls — but today’s stand-in from nature is … nuclear fission.
Join 10k+ tech and VC leaders for growth and connections at Disrupt 2025
Netflix, Box, a16z, ElevenLabs, Wayve, Hugging Face, Elad Gil, Vinod Khosla — just some of the 250+ heavy hitters leading 200+ sessions designed to deliver the insights that fuel startup growth and sharpen your edge. Don’t miss the 20th anniversary of TechCrunch, and a chance to learn from the top voices in tech. Grab your ticket before doors open to save up to $444.
Join 10k+ tech and VC leaders for growth and connections at Disrupt 2025
Netflix, Box, a16z, ElevenLabs, Wayve, Hugging Face, Elad Gil, Vinod Khosla — just some of the 250+ heavy hitters leading 200+ sessions designed to deliver the insights that fuel startup growth and sharpen your edge. Don’t miss a chance to learn from the top voices in tech. Grab your ticket before doors open to save up to $444.
A quick nuclear reactors 101: Fission is when uranium atoms are forced into an excited state in which they emit neutrons, striking other uranium atoms and causing them to do the same. At a certain level of artificial stimulation, this reaction of atoms exciting other atoms becomes self-sustaining; in a reactor, this process is tightly controlled and the resulting heat from all these neutrons splitting off is harvested for power. In a bomb, however, the reaction is encouraged to grow exponentially, producing an explosion.
Here’s how the researchers map rumors onto that process:
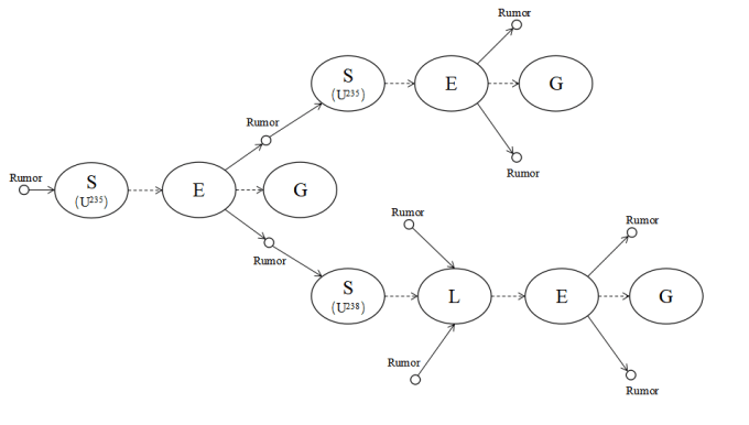
Firstly, the initial online rumors are compared to neutrons, uranium nuclei are compared to individual rumor receivers, and fission barriers are compared to individual active propagation thresholds; Secondly, the process of nuclear fission is analyzed, and the degree of energy accumulation is used to compare the social impact of online rumors.
The rumors are neutrons, shooting off of people (atoms), which like different states of uranium have varying thresholds for activation, but upon reaching a sufficiently excited state, also become active propagators.

This provides a few more levers and dials for modelers to manipulate when trying to figure out how a rumor will or did spread. For instance, how high energy is the rumor? What’s the concentration of less-reactive users (U238) versus users ready to be activated by a single stray rumor (U235)? What’s the rate of decay for forward propagation (neutron or retweet) and is the heat (user activity) being captured somehow?

It’s a rich and interesting new way to think about how this kind of thing works, and although it sounds quite mechanical, it arguably assigns its people/atoms more agency than in a passive epidemiological model or one based on fluid mechanics. People may be atoms in this model, but they’re atoms with human qualities: How resistant is one to incoming rumors, how educated is one, how quickly does one return to a receptive state for new disinformation?
Most interestingly, the overall “heat” generated by the system can be made to represent impact on society in general. And this can act as a stand-in for telling not just whether a rumor propagated, but also whether that propagation had an effect; a fission system that is excited but never reaches a chain reaction state may be understood as a rumor that was successfully managed without being outright quashed.
Of course, the researchers’ recommendation that “the government and related media should monitor the social network in real-time and check the rumor information at the early stage of rumor development and make corresponding strategies” must be considered in the context of their being under the Chinese regulatory regime. That casts the research in a slightly different light: online rumors represented as weapons-grade uranium that need close government scrutiny!
Still, it’s an exciting (if you will) new way of thinking about how information moves, duplicates, and indeed explodes in this highly volatile era.